Italiener (BMW-E24-Forum)
Hallo 6er-Freunde mit Fahrzeug aus Italien,
das BMW-Archiv war so nett und hat den Laufzettel meines 635 aus 1980 dekodiert. Tolle Sache:
Kundennr. 0003 steht für BMW Italia (Importeur) und 72.1 für die Italien-Ausführung. Aber was bedeutet das?
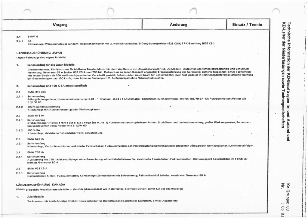
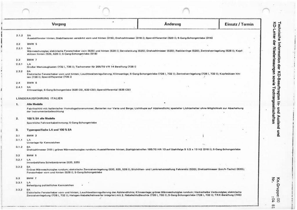
Die Länderausführung "Italien" variiert bei BMW und anderen Herstellern generell stark nach Epoche und Fahrzeug. Beim E30 beispielsweise konnte ich im ETK keine Unterschiede für "Länderausführung Italien" finden. Im E9 hingegen an diversen Stellen bei Blenden, Kabelsatz, Relais, Blink- und Heckleuchten. Sogar die Kennzeichenleuchte hat unterschiedliche Teilenummern bekommen.
Beim E24 nun wurden scheinbar ein paar SA wie Klimaanlage, Nebelscheinwerfer mit 2. Nebelschlussleuchte und TRX-Bereifung spendiert, was auch zu meinem Fahrzeug passt.
Beim ausgebauten Lichtschalter hatte ich mich hingegen schon vor Jahren gefragt, was der Aufdruck "Italien" wohl bedeuten mag:
http://bmw-e24-forum.de/index.php?mode=thread&id=72080#p126288
Die Instrumentenbeleuchtung und die Lichthupe unterscheiden sich offenbar vom Standard, siehe Scan aus dem BWM-Archiv: "Lichthupe auf Abblendlicht; spezieller Lichtschalter ohne Möglichkeit zur Abschaltung der Instrumentenbeleuchtung".
Es ist mir bisher nie aufgefallen, aber konkret bedeutet das, dass bei eingeschaltetem Abblendlicht und Betätigung der Lichthupe ... gar nichts passiert.
Kennt jemand den Hintergrund und hat eine Idee, was das soll?
Beste Grüße
Carsten
![[image]](images/uploaded/201908260754185d63902a76b46.jpg)
![[image]](images/uploaded/201908260754385d63903ea283f.png)
![[image]](images/uploaded/201908260754575d639051b0129.png)
![[image]](images/uploaded/201908260755375d639079bda3a.png)
--
BMW 635 CSi / Baujahr 09.1980 / L-Jetronic / Klima